Online Database of Chemicals from Around the World

SDS Samples

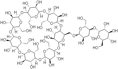
6-O-alpha-Maltosyl-beta-cyclodextrin
[ CAS# 104723-60-6 ]

Product Info

structure of CAS# 104723-60-6, 6-O-alpha-Maltosyl-beta-cyclodextrin
Product Name 6-O-alpha-Maltosyl-beta-cyclodextrin
CAS Registry Number 104723-60-6
Molecular Formula C54H90O45
Molecular Weight 1459.27
More information of 6-O-alpha-Maltosyl-beta-cyclodextrin
Suppliers of 6-O-alpha-Maltosyl-beta-cyclodextrin
 
Source SDS Document
Sigma-Aldrich
www.sigmaaldrich.com/catalog/Lookup.do?N5=All&N3=mode+matchpartialmax&N1=S_ID&ST=RS&N25=0&F=PR&D7=0&N4=104723-60-6
View / download
TCI
www.spectrumchemical.com/MSDS/TCI-M1219.pdf
View / download

Disclaimer

The SDS samples above are collected from the Internet by chemBlink and displayed here for the tutorial purpose only. chemBlink LLC provides the information contained herein in good faith but makes no representation as to its comprehensiveness or accuracy. Read full context...


More SDS files for chemicals
Barnidipine   Pigment Violet 19   Boc-D-glutamic acid 5-(tert-butyl) ester   Methyl 2-cyclopentanonecarboxylate   Decylbenzene   (3,5-Dimethylphenyl)(4-Methoxyphenyl)Methanone   2-Bromo-4-fluoro-6-nitroaniline   1,1,2,2-Tetrafluoro-2-(1,1,2,2-Tetrafluoroethoxy)-Ethanesulfonyl fluoride   8-Phenyl-1-octanol   1-Dodecylpyridinium bromide