Online Database of Chemicals from Around the World

化学品安全技术说明书

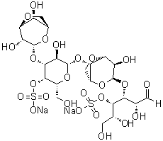
O-3,6-脱水-alpha-D-吡喃半乳糖基-(1→3)-O-4-O-磺基-beta-D-吡喃半乳糖基-(1→4)-O-3,6-脱水-alpha-D-吡喃半乳糖基-(1→3)-D-半乳糖 4-(硫酸氢酯)二钠盐
[ CAS# 108347-92-8 ]

产品概述

structure of CAS# 108347-92-8, O-3,6-脱水-alpha-D-吡喃半乳糖基-(1→3)-O-4-O-磺基-beta-D-吡喃半乳糖基-(1→4)-O-3,6-脱水-alpha-D-吡喃半乳糖基-(1→3)-D-半乳糖 4-(硫酸氢酯)二钠盐
产品名称 O-3,6-脱水-alpha-D-吡喃半乳糖基-(1→3)-O-4-O-磺基-beta-D-吡喃半乳糖基-(1→4)-O-3,6-脱水-alpha-D-吡喃半乳糖基-(1→3)-D-半乳糖 4-(硫酸氢酯)二钠盐
CAS 登录号 108347-92-8
分子式 C24H36O25S2Na2
分子量 834.64
O-3,6-脱水-alpha-D-吡喃半乳糖基-(1→3)-O-4-O-磺基-beta-D-吡喃半乳糖基-(1→4)-O-3,6-脱水-alpha-D-吡喃半乳糖基-(1→3)-D-半乳糖 4-(硫酸氢酯)二钠盐的详细资料
O-3,6-脱水-alpha-D-吡喃半乳糖基-(1→3)-O-4-O-磺基-beta-D-吡喃半乳糖基-(1→4)-O-3,6-脱水-alpha-D-吡喃半乳糖基-(1→3)-D-半乳糖 4-(硫酸氢酯)二钠盐的供应商
 
资料来源 SDS 样本
Sigma-Aldrich
www.sigmaaldrich.com/catalog/Lookup.do?N5=All&N3=mode+matchpartialmax&N1=S_ID&ST=RS&N25=0&F=PR&D7=0&N4=108347-92-8
浏览或下载

免责声明

本页所列之化学品安全技术说明书样本系 chemBlink 公司搜集的互联网公开信息,仅用于指导化学品安全技术说明书的编辑与制作。chemBlink 竭诚提供可靠信息,然而不承诺其完备与准确。 阅读全文...




相关化学品安全技术说明书
3,4,5-三羟基苯甲酸丁酯   1,2,3,4,6-五-O-(2,2-二甲基丙烷酰基)-beta-D-吡喃半乳糖   2,3,4,6-四-O-叔戊酰基-beta-D-吡喃半乳糖胺   9-[5-O-[羟基[[羟基[3-羟基-2,2-二甲基-4-[[3-[[2-[(3-甲基-1-氧代-2-丁烯-1-基)硫代]乙基]氨基]-3-氧代丙基]氨基]-4-氧代丁氧基]亚膦酰]氧基]亚膦酰]-3-O-膦酰戊o呋喃糖基]-9H-嘌呤-6-胺锂盐(1:1)   丙二酰辅酶 A 锂盐   二钠   4-(4-硝基苄基)吡啶   4-苯基丁基苯   布西丁   1,3-二溴苯