Online Database of Chemicals from Around the World

化学品安全技术说明书

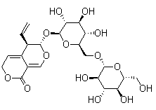
6'-O-beta-D-葡萄糖基龙胆苦苷
[ CAS# 115713-06-9 ]

产品概述

structure of CAS# 115713-06-9, 6'-O-beta-D-葡萄糖基龙胆苦苷
产品名称 6'-O-beta-D-葡萄糖基龙胆苦苷
CAS 登录号 115713-06-9
分子式 C22H30O14
分子量 518.47
6'-O-beta-D-葡萄糖基龙胆苦苷的详细资料
6'-O-beta-D-葡萄糖基龙胆苦苷的供应商
 
资料来源 SDS 样本
Ambeed
file.ambeed.com/static/upload/prosds/am/498/SDS-A497405.pdf
浏览或下载

免责声明

本页所列之化学品安全技术说明书样本系 chemBlink 公司搜集的互联网公开信息,仅用于指导化学品安全技术说明书的编辑与制作。chemBlink 竭诚提供可靠信息,然而不承诺其完备与准确。 阅读全文...




相关化学品安全技术说明书
2-氨基-2-甲基-1,3-丙二醇   2-氯-N-(2-吡嗪基)乙酰胺   四甲基久洛尼定   2-(2-氧代-2,3,4,5-四氢-1H-1-苯并氮杂卓-1-基)丙酸   2-氨基-2-乙基-1,3-丙二醇   2-(3-氟苯基)环丙胺   4-吗啉丁烷磺酸   3',5'-环脱氧腺苷酸   4',7-二甲氧基异黄酮   3-氯-4-(三氟甲基)苯甲酸