Online Database of Chemicals from Around the World

化学品安全技术说明书

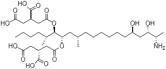
伏马菌素 B2
[ CAS# 116355-84-1 ]

产品概述

structure of CAS# 116355-84-1, 伏马菌素 B2
产品名称 伏马菌素 B2
CAS 登录号 116355-84-1
分子式 C34H59NO14
分子量 705.83
伏马菌素 B2的详细资料
伏马菌素 B2的供应商
 
资料来源 SDS 样本
Acros-Organics
www.acros.com/DesktopModules/Acros_Search_Results/Acros_Search_Results.aspx?search_type=CAS&SearchString=116355-84-1
浏览或下载
Apollo
www.apolloscientific.co.uk/downloads/msds/BIF1005_msds.pdf
浏览或下载
Cayman
www.caymanchem.com/msdss/13227m.pdf
浏览或下载

免责声明

本页所列之化学品安全技术说明书样本系 chemBlink 公司搜集的互联网公开信息,仅用于指导化学品安全技术说明书的编辑与制作。chemBlink 竭诚提供可靠信息,然而不承诺其完备与准确。 阅读全文...




相关化学品安全技术说明书
6-羟基-1H-吲哚-2-甲酸甲酯   咪唑并[1,2-a]吡啶-6-甲醛   6-溴-7-甲基咪唑并[1,2-a]吡啶   2-甲基-2-丙烯酸 2,2-二氟乙酯   烟曲霉毒素 B1   3-(乙酰氧基)-N-苯基-2-萘甲酰胺   2-氟-3-(三氟甲氧基)苯胺   4-溴-5-氯-2-氟苯胺   4-溴-3-(三氟甲氧基)苯胺   双(3-溴苯基)苯基膦氧化物