Online Database of Chemicals from Around the World

SDS Samples

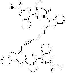
AZD 5582
[ CAS# 1258392-53-8 ]

Product Info

structure of CAS# 1258392-53-8, AZD 5582
Product Name AZD 5582
CAS Registry Number 1258392-53-8
Molecular Formula C58H78N8O8
Molecular Weight 1015.29
More information of AZD 5582
Suppliers of AZD 5582
 
Source SDS Document
Ambeed
file.ambeed.com/static/upload/prosds/am/962/SDS-A961946.pdf
View / download

Disclaimer

The SDS samples above are collected from the Internet by chemBlink and displayed here for the tutorial purpose only. chemBlink LLC provides the information contained herein in good faith but makes no representation as to its comprehensiveness or accuracy. Read full context...


More SDS files for chemicals
(11aS)-10,11,12,13-Tetrahydro-5-hydroxy-3,7-bis([1,1'-biphenyl]-4-yl)-diindeno[7,1-de:1',7'-fg][1,3,2]dioxaphosphocin-5-oxide   (11aS)-3,7-Bis[3,5-bis(trifluoromethyl)phenyl]-10,11,12,13-tetrahydro-5-hydroxy-diindeno[7,1-de:1',7'-fg][1,3,2]dioxaphosphocin 5-oxide   (11aS)-10,11,12,13-Tetrahydro-5-hydroxy-3,7-di-1-naphthalenyl-diindeno[7,1-de:1',7'-fg][1,3,2]dioxaphosphocin-5-oxide   Rifampicin EP Impurity B   Synthetic amino-terminal parathyroid hormone   8-Chloro-N-[4-(trifluoromethoxy)phenyl]-2-quinolinamine   Velosulin   Aminoglutethimide   3,5-Dichloro-6-methyl-1,4-oxazin-2-one   Apremilast-d5