Online Database of Chemicals from Around the World

化学品安全技术说明书

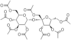
蔗糖八乙酸酯
[ CAS# 126-14-7 ]

产品概述

structure of CAS# 126-14-7, 蔗糖八乙酸酯
产品名称 蔗糖八乙酸酯
CAS 登录号 126-14-7
分子式 C28H38O19
分子量 678.60
蔗糖八乙酸酯的详细资料
蔗糖八乙酸酯的供应商
 
资料来源 SDS 样本
Alfa-Aesar
www.alfa.com/en/content/msds/USA/L11136.pdf
浏览或下载
Sigma-Aldrich
www.sigmaaldrich.com/catalog/Lookup.do?N5=All&N3=mode+matchpartialmax&N1=S_ID&ST=RS&N25=0&F=PR&D7=0&N4=126-14-7
浏览或下载
TCI
www.spectrumchemical.com/MSDS/TCI-S0052.pdf
浏览或下载

免责声明

本页所列之化学品安全技术说明书样本系 chemBlink 公司搜集的互联网公开信息,仅用于指导化学品安全技术说明书的编辑与制作。chemBlink 竭诚提供可靠信息,然而不承诺其完备与准确。 阅读全文...




相关化学品安全技术说明书
2-氟-1-碘-4-异氰酸基苯   4-氯-2-(三氟甲氧基)苯甲醛   3-氰基-2-氟苯甲酸甲酯   5-(1-金刚烷基)-2-羟基苯甲酸   4-[[(2,5-二甲基苯基)磺酰基]氨基]-苯甲酸   6-氯-2-碘-3-甲基吡啶   1H-吡咯并[3,2-b]吡啶-7-羧酸甲酯   2-溴-4-氯-1-(二氟甲基)苯   N-苯氧羰基-L-缬氨酸   2,1,3-苯并恶二唑-5-甲酰氯