Online Database of Chemicals from Around the World

化学品安全技术说明书

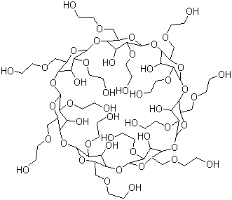
beta-环糊精 2-羟基乙基醚
[ CAS# 128446-32-2 ]

产品概述

structure of CAS# 128446-32-2, beta-环糊精 2-羟基乙基醚
产品名称 beta-环糊精 2-羟基乙基醚
CAS 登录号 128446-32-2
分子式 C70H126O49
分子量 1751.74
beta-环糊精 2-羟基乙基醚的详细资料
beta-环糊精 2-羟基乙基醚的供应商
 
资料来源 SDS 样本
Sigma-Aldrich
www.sigmaaldrich.com/catalog/Lookup.do?N5=All&N3=mode+matchpartialmax&N1=S_ID&ST=RS&N25=0&F=PR&D7=0&N4=128446-32-2
浏览或下载

免责声明

本页所列之化学品安全技术说明书样本系 chemBlink 公司搜集的互联网公开信息,仅用于指导化学品安全技术说明书的编辑与制作。chemBlink 竭诚提供可靠信息,然而不承诺其完备与准确。 阅读全文...




相关化学品安全技术说明书
(S)-2-Boc-氨基-1,4-丁醇   (6-溴咪唑并[1,2-a]吡啶-3-基)苯基甲酮   2-氯甲基-3-甲基-4-(2,2,2-三氟乙氧基)吡啶   (Z)-2-(2-氨基噻唑-4-基)-2-三苯甲氧亚氨基乙酸   4-溴-gamma-氧代苯丁酸异丙酯   alpha-环糊精 2-羟基丙基醚   gamma-环糊精 2-羟基丙基醚   羟丙基-beta-环糊精   甲基倍他环糊精   糖精钠