Online Database of Chemicals from Around the World

化学品安全技术说明书

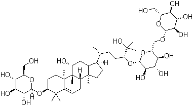
罗汉果甙 III
[ CAS# 130567-83-8 ]

产品概述

structure of CAS# 130567-83-8, 罗汉果甙 III
产品名称 罗汉果甙 III
CAS 登录号 130567-83-8
分子式 C48H82O19
分子量 963.15
罗汉果甙 III的详细资料
罗汉果甙 III的供应商
 
资料来源 SDS 样本
Ambeed
file.ambeed.com/static/upload/prosds/am/505/SDS-A504656.pdf
浏览或下载

免责声明

本页所列之化学品安全技术说明书样本系 chemBlink 公司搜集的互联网公开信息,仅用于指导化学品安全技术说明书的编辑与制作。chemBlink 竭诚提供可靠信息,然而不承诺其完备与准确。 阅读全文...




相关化学品安全技术说明书
2-羟甲基恶唑   2-碘-1-甲基-4-(三氟甲基)苯   2-甲基-5-(三氟甲基)苯甲酸   3-氯-4-氟-苯硫代甲酰胺   氢氧化钙   5,6-二氯茚满-1-醇   2-丙烯酸 1,2,2,2-四氟-1-(三氟甲基)乙基酯   6-苯并恶唑羧酸甲酯   溴甲基甲基醚   甲氧基甲基碘化物