Online Database of Chemicals from Around the World

化学品安全技术说明书

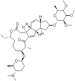
多杀霉素
[ CAS# 131929-60-7 ]

产品概述

structure of CAS# 131929-60-7, 多杀霉素
产品名称 多杀霉素
CAS 登录号 131929-60-7
分子式 C41H65NO10
分子量 731.96
多杀霉素的详细资料
多杀霉素的供应商
 
资料来源 SDS 样本
Cayman
www.caymanchem.com/msdss/16528m.pdf
浏览或下载

免责声明

本页所列之化学品安全技术说明书样本系 chemBlink 公司搜集的互联网公开信息,仅用于指导化学品安全技术说明书的编辑与制作。chemBlink 竭诚提供可靠信息,然而不承诺其完备与准确。 阅读全文...




相关化学品安全技术说明书
2-氧代丁二酸 4-甲酯   4,5-二脱氧-5-(3',5'-二氯[1,1'-联苯]-4-基)-4-[(2-甲氧基乙酰基)氨基]-L-阿拉伯糖酸   2-(三氟甲基)哌嗪   1-(2-苯并呋喃基)-2,2-二羟基-乙酮   兰索拉唑砜   多杀菌素 D   5-硝基-2-异丙基吡啶   2-(4-甲氧基苯基)-5-硝基-吡啶   灭克磷   3-氯-4-硝基吡啶