Online Database of Chemicals from Around the World

化学品安全技术说明书

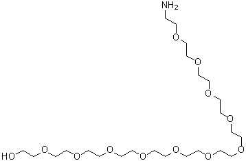
35-氨基-3,6,9,12,15,18,21,24,27,30,33-十一氧杂三十五烷-1-醇
[ CAS# 1345681-71-1 ]

产品概述

structure of CAS# 1345681-71-1, 35-氨基-3,6,9,12,15,18,21,24,27,30,33-十一氧杂三十五烷-1-醇
产品名称 35-氨基-3,6,9,12,15,18,21,24,27,30,33-十一氧杂三十五烷-1-醇
CAS 登录号 1345681-71-1
分子式 C24H51NO12
分子量 545.66
35-氨基-3,6,9,12,15,18,21,24,27,30,33-十一氧杂三十五烷-1-醇的详细资料
35-氨基-3,6,9,12,15,18,21,24,27,30,33-十一氧杂三十五烷-1-醇的供应商
 
资料来源 SDS 样本
Ambeed
file.ambeed.com/static/upload/prosds/am/660/SDS-A659821.pdf
浏览或下载

免责声明

本页所列之化学品安全技术说明书样本系 chemBlink 公司搜集的互联网公开信息,仅用于指导化学品安全技术说明书的编辑与制作。chemBlink 竭诚提供可靠信息,然而不承诺其完备与准确。 阅读全文...




相关化学品安全技术说明书
(R)-2-(吡咯烷-1-甲酰基)吡咯烷-1-甲酸苄酯   乙胺丁醇2盐酸盐   alpha,alpha-二甲基-4-[2-氧代-9-(3-喹啉基)-2H-[1,3]恶嗪并[5,4-c]喹啉-1(4H)-基]-苯乙腈   N,N,N',N'-四苄基-1,4-苯二胺   甲基3-氧代-3-(2-噻吩基)丙酸酯   叔-丁基(3S)-3-氟-3-(羟基甲基)哌啶-1-羧酸酯   定菌磷   甲基3-溴-6-氯吡嗪-2-羧酸酯   3-(苯基甲基)-3-氮杂双环[3.1.0]己烷-1-甲胺   (3-氮杂双环[3.1.0]己-1-基甲基)-氨基甲酸叔丁酯