Online Database of Chemicals from Around the World

化学品安全技术说明书

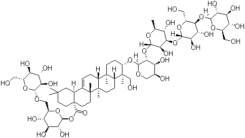
灰毡毛忍冬皂苷 B
[ CAS# 136849-88-2 ]

产品概述

structure of CAS# 136849-88-2, 灰毡毛忍冬皂苷 B
产品名称 灰毡毛忍冬皂苷 B
CAS 登录号 136849-88-2
分子式 C65H106O32
分子量 1399.52
灰毡毛忍冬皂苷 B的详细资料
灰毡毛忍冬皂苷 B的供应商
 
资料来源 SDS 样本
Sigma-Aldrich
www.sigmaaldrich.com/catalog/Lookup.do?N5=All&N3=mode+matchpartialmax&N1=S_ID&ST=RS&N25=0&F=PR&D7=0&N4=136849-88-2
浏览或下载

免责声明

本页所列之化学品安全技术说明书样本系 chemBlink 公司搜集的互联网公开信息,仅用于指导化学品安全技术说明书的编辑与制作。chemBlink 竭诚提供可靠信息,然而不承诺其完备与准确。 阅读全文...




相关化学品安全技术说明书
甜菜宁   1,3,5,7,9,11,13,15-八({[2-(3-环己烯-1-基)乙基](二甲基)硅烷基}氧基)五环[7.7.1.13,7.15,13.111,15]八硅氧烷   环丙嘧磺隆   多肽试剂 TOTU   4-[4-(羟基甲基)-3-甲氧基苯氧基]-丁酸   P,P-二(3-甲基苯基)-亚膦基氯化物   P,P-二[4-(三氟甲基)苯基]-亚膦基氯化物   二(4-氯苯基)亚膦基氯化物   二(4-甲氧基苯基)亚膦基氯化物   乙基2,2-二氟戊烷酸酯