Online Database of Chemicals from Around the World

SDS Samples

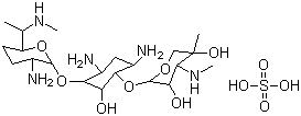
Gentamycin sulfate
[ CAS# 1405-41-0 ]

Product Info

structure of CAS# 1405-41-0, Gentamycin sulfate
Product Name Gentamycin sulfate
CAS Registry Number 1405-41-0
Molecular Formula C21H43N5O7.H2SO4
Molecular Weight 575.67
More information of Gentamycin sulfate
Suppliers of Gentamycin sulfate
 
Source SDS Document
Alfa-Aesar
www.alfa.com/en/content/msds/USA/J16051.pdf
View / download
Sigma-Aldrich
www.sigmaaldrich.com/catalog/Lookup.do?N5=All&N3=mode+matchpartialmax&N1=S_ID&ST=RS&N25=0&F=PR&D7=0&N4=1405-41-0
View / download
TCI
www.spectrumchemical.com/MSDS/TCI-G0383.pdf
View / download

Disclaimer

The SDS samples above are collected from the Internet by chemBlink and displayed here for the tutorial purpose only. chemBlink LLC provides the information contained herein in good faith but makes no representation as to its comprehensiveness or accuracy. Read full context...


More SDS files for chemicals
tert-butyl N-[(3S,5R)-5-methyl-1-(3-nitro-4-pyridyl)-3-piperidyl]carbamate   3-Phenyl-1'-(Phenylmethyl)-[3,4'-Bipiperidine]-2,6-Dione   Polymyxin B sulfate   4-Chlorobenzyl cyanide   Capastat sulfate   4,4,4-Trifluoro-1-(2-Thienyl)-1,3-Butanedione - Europium (3:1)   Nickel Phthalocyanine   Tylosin phosphate    Tylosin tartrate   N-(3-Methoxyphenyl)-N-Methyl-beta-Alanine