Online Database of Chemicals from Around the World

化学品安全技术说明书

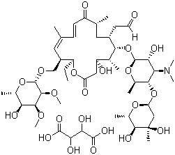
酒石酸泰洛星
[ CAS# 1405-54-5 ]

产品概述

structure of CAS# 1405-54-5, 酒石酸泰洛星
产品名称 酒石酸泰洛星
CAS 登录号 1405-54-5
分子式 C46H77NO17.C4H6O6
分子量 1066.19
酒石酸泰洛星的详细资料
酒石酸泰洛星的供应商
 
资料来源 SDS 样本
Alfa-Aesar
www.alfa.com/en/content/msds/USA/J62633.pdf
浏览或下载
Sigma-Aldrich
www.sigmaaldrich.com/catalog/Lookup.do?N5=All&N3=mode+matchpartialmax&N1=S_ID&ST=RS&N25=0&F=PR&D7=0&N4=1405-54-5
浏览或下载

免责声明

本页所列之化学品安全技术说明书样本系 chemBlink 公司搜集的互联网公开信息,仅用于指导化学品安全技术说明书的编辑与制作。chemBlink 竭诚提供可靠信息,然而不承诺其完备与准确。 阅读全文...




相关化学品安全技术说明书
硫酸卷曲霉素   硫酸庆大霉素   4,4,4-三氟-1-(2-噻吩基)-1,3-丁烷二酮-铕(3:1)   镍酞菁   磷酸泰乐菌素   N-(3-甲氧基苯基)-N-甲基-beta-丙氨酸   N2-乙酰基-3-次氮基丙氨酰胺   敌克松   羰基溴二(三苯基膦)铑(I)   亲和素