Online Database of Chemicals from Around the World

化学品安全技术说明书

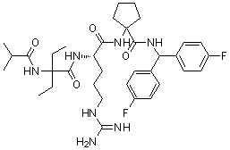
1-[[(2S)-5-[(氨基亚胺甲基)氨基]-2-[[2-乙基-2-[(2-甲基-1-氧代丙基)氨基]-1-氧代丁基]氨基]-1-氧代戊基]氨基]-N-[二(4-氟苯基)甲基]环戊烷甲酰胺]
[ CAS# 1417329-24-8 ]

产品概述

structure of CAS# 1417329-24-8, 1-[[(2S)-5-[(氨基亚胺甲基)氨基]-2-[[2-乙基-2-[(2-甲基-1-氧代丙基)氨基]-1-氧代丁基]氨基]-1-氧代戊基]氨基]-N-[二(4-氟苯基)甲基]环戊烷甲酰胺]
产品名称 1-[[(2S)-5-[(氨基亚胺甲基)氨基]-2-[[2-乙基-2-[(2-甲基-1-氧代丙基)氨基]-1-氧代丁基]氨基]-1-氧代戊基]氨基]-N-[二(4-氟苯基)甲基]环戊烷甲酰胺]
CAS 登录号 1417329-24-8
分子式 C35H49F2N7O4
分子量 669.81
1-[[(2S)-5-[(氨基亚胺甲基)氨基]-2-[[2-乙基-2-[(2-甲基-1-氧代丙基)氨基]-1-氧代丁基]氨基]-1-氧代戊基]氨基]-N-[二(4-氟苯基)甲基]环戊烷甲酰胺]的详细资料
1-[[(2S)-5-[(氨基亚胺甲基)氨基]-2-[[2-乙基-2-[(2-甲基-1-氧代丙基)氨基]-1-氧代丁基]氨基]-1-氧代戊基]氨基]-N-[二(4-氟苯基)甲基]环戊烷甲酰胺]的供应商
 
资料来源 SDS 样本
Cayman
www.caymanchem.com/msdss/17699m.pdf
浏览或下载

免责声明

本页所列之化学品安全技术说明书样本系 chemBlink 公司搜集的互联网公开信息,仅用于指导化学品安全技术说明书的编辑与制作。chemBlink 竭诚提供可靠信息,然而不承诺其完备与准确。 阅读全文...




相关化学品安全技术说明书
5,10,15,20-四苯基-21H,23H-卟吩钴(II)   5,10,15,20-四苯基-21H,23H-卟吩铜(II)   5,10,15,20-四苯基-21H,23H-卟吩镍(II)   4-甲氧基-4-甲基-2-戊醇   甲基苯基二硫醚   3-羟基-2-羟甲基吡啶盐酸盐   L-4-氯苯丙氨酸   4-氯-DL-苯丙氨酸甲酯盐酸盐   DL-对碘苯丙氨酸   3-氯-4-碘三氟甲苯