Online Database of Chemicals from Around the World

化学品安全技术说明书

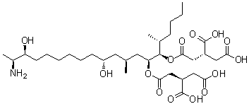
烟曲霉毒素 B3
[ CAS# 1422359-85-0 ]

产品概述

structure of CAS# 1422359-85-0, 烟曲霉毒素 B3
产品名称 烟曲霉毒素 B3
CAS 登录号 1422359-85-0
分子式 C34H59NO14
分子量 705.83
烟曲霉毒素 B3的详细资料
烟曲霉毒素 B3的供应商
 
资料来源 SDS 样本
Apollo
www.apolloscientific.co.uk/downloads/msds/BIF1008_msds.pdf
浏览或下载
Cayman
www.caymanchem.com/msdss/20434m.pdf
浏览或下载

免责声明

本页所列之化学品安全技术说明书样本系 chemBlink 公司搜集的互联网公开信息,仅用于指导化学品安全技术说明书的编辑与制作。chemBlink 竭诚提供可靠信息,然而不承诺其完备与准确。 阅读全文...




相关化学品安全技术说明书
9-氧代癸酸   丙硫异烟胺   (8R)-9-(6-氨基-9H-嘌呤-9-基)-8-甲基-5-(1-甲基乙氧基)-2,4,7-三氧杂-5-磷杂壬酸1-甲基乙基酯 5-氧化物 2-丁烯二酸盐   1-[4-(三氟甲氧基)苯基]硫脲   罗替戈汀 EP 杂质G   5,5,5-三氟-4-(三氟甲基)-3-戊烯-2-酮   7-氯-2,1,3-苯并恶二唑-4-磺酰氯   4-(N-Boc-4-哌啶基)丁酸   2-甲基-4,5-二苯基恶唑   非索非那定N-氧化物