Online Database of Chemicals from Around the World

化学品安全技术说明书

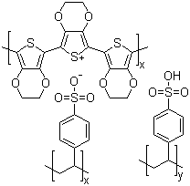
聚(3,4-亚乙二氧基噻吩)-聚(苯乙烯磺酸)
[ CAS# 155090-83-8 ]

产品概述

structure of CAS# 155090-83-8, 聚(3,4-亚乙二氧基噻吩)-聚(苯乙烯磺酸)
产品名称 聚(3,4-亚乙二氧基噻吩)-聚(苯乙烯磺酸)
CAS 登录号 155090-83-8
聚(3,4-亚乙二氧基噻吩)-聚(苯乙烯磺酸)的详细资料
聚(3,4-亚乙二氧基噻吩)-聚(苯乙烯磺酸)的供应商
 
资料来源 SDS 样本
Sigma-Aldrich
www.sigmaaldrich.com/catalog/Lookup.do?N5=All&N3=mode+matchpartialmax&N1=S_ID&ST=RS&N25=0&F=PR&D7=0&N4=155090-83-8
浏览或下载

免责声明

本页所列之化学品安全技术说明书样本系 chemBlink 公司搜集的互联网公开信息,仅用于指导化学品安全技术说明书的编辑与制作。chemBlink 竭诚提供可靠信息,然而不承诺其完备与准确。 阅读全文...




相关化学品安全技术说明书
(2R,4R)-4-羟基-1,2-吡咯烷二甲酸 2-甲基 1-苄基酯   [10,13-二甲基-17-(6-甲基庚烷-2-基)-2,3,4,7,8,9,11,12,14,15,16,17-十二氢-1H-环戊并[a]菲-3-基]甲基碳酸酯   反式-3-氯四氢-4-(苯基硫代)-噻吩 1,1-二氧化物   2-苯基吡啶-5-硼酸   2,4-二氨基噻吩并[2,3-d]嘧啶-6-羧酸   反苯环丙胺   1,3,5-三(2-噻吩基)苯   4-氨基-2-氯-5-氟嘧啶   十二烷基三苯基溴化膦   2-乙基吡咯