Online Database of Chemicals from Around the World

SDS Samples

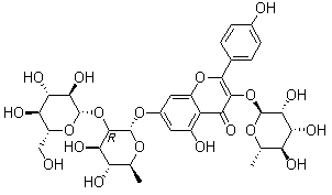
Grosvenorine
[ CAS# 156980-60-8 ]

Product Info

structure of CAS# 156980-60-8, Grosvenorine
Product Name Grosvenorine
CAS Registry Number 156980-60-8
Molecular Formula C33H40O19
Molecular Weight 740.66
More information of Grosvenorine
Suppliers of Grosvenorine
 
Source SDS Document
Ambeed
file.ambeed.com/static/upload/prosds/am/894/SDS-A893023.pdf
View / download

Disclaimer

The SDS samples above are collected from the Internet by chemBlink and displayed here for the tutorial purpose only. chemBlink LLC provides the information contained herein in good faith but makes no representation as to its comprehensiveness or accuracy. Read full context...


More SDS files for chemicals
Cyclohexyl mercaptan   Pyrazolo[1,5-a]Pyridin-5-Ol   1,7-Dibenzyl-1,4,7,10-Tetraazacyclododecane   5-Aminomethyl-2-aminopyridine   Isosalicifoline   2-(2-Furyl)-4-Methyl-1,3-Benzothiazole   N-[2-(2-Bromo-1H-Indol-3-Yl)Ethyl]-Acetamide   2-(2-Furanyl)-Benzothiazole   3,4-Bis(Benzyloxy)Benzoic Acid   (R)-2-Methylpyrrolidine-1-carboxylic acid tert-butyl ester