Online Database of Chemicals from Around the World

SDS Samples

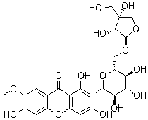
Polygalaxanthone III
[ CAS# 162857-78-5 ]

Product Info

structure of CAS# 162857-78-5, Polygalaxanthone III
Product Name Polygalaxanthone III
CAS Registry Number 162857-78-5
Molecular Formula C25H28O15
Molecular Weight 568.48
More information of Polygalaxanthone III
Suppliers of Polygalaxanthone III
 
Source SDS Document
Sigma-Aldrich
www.sigmaaldrich.com/catalog/Lookup.do?N5=All&N3=mode+matchpartialmax&N1=S_ID&ST=RS&N25=0&F=PR&D7=0&N4=162857-78-5
View / download

Disclaimer

The SDS samples above are collected from the Internet by chemBlink and displayed here for the tutorial purpose only. chemBlink LLC provides the information contained herein in good faith but makes no representation as to its comprehensiveness or accuracy. Read full context...


More SDS files for chemicals
2-Bromo-3-methoxythiophene-4-carboxylic acid   (2S,3S,5S)-5-(tert-Butoxycarbonylamino)-2-(N-5-thiazolylmethoxycarbonyl)amino-1,6-diphenyl-3-hydroxyhexane   N-Benzyltetrahydro-3-Furanamine   8-Oxo-8-(phenylamino)octanoic acid methyl ester   Thieno[3,2-d]pyrimidin-4-amine   Olopatadine USP Related Compound A   (2S)-Amino(3,5-Dihydroxyphenyl)Acetic Acid   Olinciguat   10-(4-(4,6-Diphenyl-1,3,5-triazin-2-yl)phenyl)-9,9-dimethyl-9,10-dihydroacridine   Cy5.5 alkyne