Online Database of Chemicals from Around the World

化学品安全技术说明书

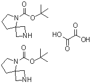
2,5-二氮杂螺[3.4]辛烷-5-羧酸叔丁酯半草酸盐
[ CAS# 1630906-60-3 ]

产品概述

structure of CAS# 1630906-60-3, 2,5-二氮杂螺[3.4]辛烷-5-羧酸叔丁酯半草酸盐
产品名称 2,5-二氮杂螺[3.4]辛烷-5-羧酸叔丁酯半草酸盐
CAS 登录号 1630906-60-3
分子式 2(C11H20N2O2).C2H2O4
分子量 514.61
2,5-二氮杂螺[3.4]辛烷-5-羧酸叔丁酯半草酸盐的详细资料
2,5-二氮杂螺[3.4]辛烷-5-羧酸叔丁酯半草酸盐的供应商
 
资料来源 SDS 样本
Ambeed
file.ambeed.com/static/upload/prosds/am/735/SDS-A734597.pdf
浏览或下载

免责声明

本页所列之化学品安全技术说明书样本系 chemBlink 公司搜集的互联网公开信息,仅用于指导化学品安全技术说明书的编辑与制作。chemBlink 竭诚提供可靠信息,然而不承诺其完备与准确。 阅读全文...




相关化学品安全技术说明书
2,2,2-三氟-1-(9-菲基)乙酮   6-甲基-1H-吲哚-3-羧酸甲酯   烯丙基苯基碳酸酯   2,4-二甲基-苯甲醇   N-[(3-氨基双环[1.1.1]戊烷-1-基)甲基]氨基甲酸叔丁酯   4-(4-硝基苯氧基)-苯甲酸   1,3-噻唑烷-2-甲酸   1-苯基-2-(2-喹喔啉基)乙酮   2-甲氧基-5-吡啶硼酸   2-甲氧基吡啶基-3-硼酸