Online Database of Chemicals from Around the World

化学品安全技术说明书

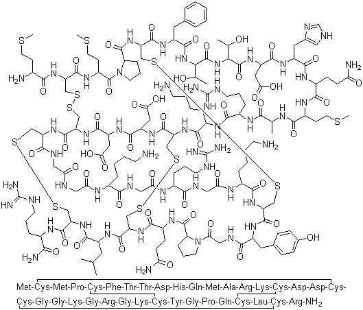
氯毒素
[ CAS# 163515-35-3 ]

产品概述

structure of CAS# 163515-35-3, 氯毒素
产品名称 氯毒素
CAS 登录号 163515-35-3
分子式 C158H249N53O47S11
分子量 3995.70
氯毒素的详细资料
氯毒素的供应商
 
资料来源 SDS 样本
Sigma-Aldrich
www.sigmaaldrich.com/catalog/Lookup.do?N5=All&N3=mode+matchpartialmax&N1=S_ID&ST=RS&N25=0&F=PR&D7=0&N4=163515-35-3
浏览或下载

免责声明

本页所列之化学品安全技术说明书样本系 chemBlink 公司搜集的互联网公开信息,仅用于指导化学品安全技术说明书的编辑与制作。chemBlink 竭诚提供可靠信息,然而不承诺其完备与准确。 阅读全文...




相关化学品安全技术说明书
1-[(苄氧基)羰基]-L-脯氨酰-L-亮氨酸   N2-甲基-1,3-苯并噻唑-2,6-二胺   5'-O-[二(4-甲氧基苯基)苯基甲基]-2-硫代尿苷   D-3-(2-吡啶基)丙氨酸甲酯二盐酸盐   2-氯-N-(2,4-二甲基-3-噻吩基)-N-[(1S)-2-甲氧基-1-甲基乙基]-乙酰胺   2-(2-甲基苯基)-1,3,2-二氧硼杂环己烷   B-(3-氟-2-甲基苯基)-硼酸   5-氟-2-甲基苯硼酸   4,5-二氢-5,5-二苯基-3-异恶唑羧酸乙酯   4-氨基-6-甲基-1,3,5-三嗪-2-醇