Online Database of Chemicals from Around the World

化学品安全技术说明书

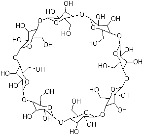
gamma-环糊精
[ CAS# 17465-86-0 ]

产品概述

structure of CAS# 17465-86-0, gamma-环糊精
产品名称 gamma-环糊精
CAS 登录号 17465-86-0
分子式 C48H80O40
分子量 1297.12
gamma-环糊精的详细资料
gamma-环糊精的供应商
 
资料来源 SDS 样本
Sigma-Aldrich
www.sigmaaldrich.com/catalog/Lookup.do?N5=All&N3=mode+matchpartialmax&N1=S_ID&ST=RS&N25=0&F=PR&D7=0&N4=17465-86-0
浏览或下载
TCI
www.spectrumchemical.com/MSDS/TCI-C0869.pdf
浏览或下载
Apollo
www.apolloscientific.co.uk/downloads/msds/BIB6136_msds.pdf
浏览或下载

免责声明

本页所列之化学品安全技术说明书样本系 chemBlink 公司搜集的互联网公开信息,仅用于指导化学品安全技术说明书的编辑与制作。chemBlink 竭诚提供可靠信息,然而不承诺其完备与准确。 阅读全文...




相关化学品安全技术说明书
四甲氧甲基甘脲   1,2,3,4-四氢-6-硝基异喹啉单盐酸盐   (R)-N-[3-(3-氟-(4-吗啉基)苯基)-2-氧代-5-噁唑烷基]甲醇甲磺酸酯   (E)-2-苯甲酰基-3-(二甲基氨基)-2-丙烯腈   4-氨基-3-巯基苯腈   鬼笔环肽   N-羟基-3-[3-(羟基氨基)-3-氧代-1-丙烯-1-基]-苯甲酰胺   2-氟-3-吡啶硼酸   2-氟-3-羟基吡啶   (R)-1-苄基-2-甲基哌嗪