Online Database of Chemicals from Around the World

SDS Samples

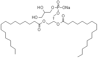
Coatsome MG 6060LS
[ CAS# 200880-41-7 ]

Product Info

structure of CAS# 200880-41-7, Coatsome MG 6060LS
Product Name Coatsome MG 6060LS
CAS Registry Number 200880-41-7
Molecular Formula C38H75O10P.Na
Molecular Weight 745.96
More information of Coatsome MG 6060LS
Suppliers of Coatsome MG 6060LS
 
Source SDS Document
Cayman
www.caymanchem.com/msdss/15086m.pdf
View / download

Disclaimer

The SDS samples above are collected from the Internet by chemBlink and displayed here for the tutorial purpose only. chemBlink LLC provides the information contained herein in good faith but makes no representation as to its comprehensiveness or accuracy. Read full context...


More SDS files for chemicals
Diosbulbin B   1-(3-Chlorophenyl)-3-Phenylurea   2-Bromo-7-Methoxynaphthalene   2-Piperidinoethylchloride hydrochloride   1,2-Dimyristoyl-sn-glycero-3-phospho-(1'-rac-glycerol) sodium salt   Octadecanoic acid (1R)-1-[[[(2,3-dihydroxypropoxy)hydroxyphosphinyl]oxy]methyl]-1,2-ethanediyl ester monosodium salt   (+)-Sabinene   [2'-(amino-κN)[1,1'-biphenyl]-2-yl-κC][bis(1,1-dimethylethyl)[3-methoxy-6-methyl-2',4',6'-tris(1-methylethyl)[1,1'-biphenyl]-2-yl]phosphine-κP](methanesulfonato-κO)-Palladium   4-Chloro-2-amino-5-methylpyrimidine   4-Chloro-2-Methyl-5-Pyrimidinamine