Online Database of Chemicals from Around the World

化学品安全技术说明书

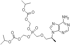
替诺福韦酯
[ CAS# 201341-05-1 ]

产品概述

structure of CAS# 201341-05-1, 替诺福韦酯
产品名称 替诺福韦酯
CAS 登录号 201341-05-1
分子式 C19H30N5O10P
分子量 519.44
替诺福韦酯的详细资料
替诺福韦酯的供应商
 
资料来源 SDS 样本
Matrix
www.matrixscientific.com/media/msds/07/60/70/MxMSDS_076070.pdf
浏览或下载

免责声明

本页所列之化学品安全技术说明书样本系 chemBlink 公司搜集的互联网公开信息,仅用于指导化学品安全技术说明书的编辑与制作。chemBlink 竭诚提供可靠信息,然而不承诺其完备与准确。 阅读全文...




相关化学品安全技术说明书
N-[叔丁氧羰基]-N-甲基-O-乙酰基-L-酪氨酸二环己基铵盐   D-正缬氨酸   2-羰基丁酸钠   1-(3,4-二甲氧基苯基)丙烷-1,2-二醇   Fmoc-D-4-甲氧基苯丙氨酸   (2S)-2-(乙酰氨基)-4-[[(1,1-二甲基乙氧基)羰基]氨基]-丁酸   N-乙酰基-4-碘-D-苯丙氨酸   O-叔丁基-L-别苏氨酸   (S)-2-氨基己二酸 6-叔丁酯   (5alpha,17alpha)-13-乙基-11-亚甲基-18,19-二去甲孕甾-3-烯-20-炔-17-醇