Online Database of Chemicals from Around the World

化学品安全技术说明书

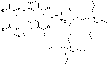
二(四丁基铵) 顺式-双(异硫氰基)双(2,2'-联吡啶-4,4'-二羧酸)钌(II)
[ CAS# 207347-46-4 ]

产品概述

structure of CAS# 207347-46-4, 二(四丁基铵) 顺式-双(异硫氰基)双(2,2'-联吡啶-4,4'-二羧酸)钌(II)
产品名称 二(四丁基铵) 顺式-双(异硫氰基)双(2,2'-联吡啶-4,4'-二羧酸)钌(II)
CAS 登录号 207347-46-4
分子式 C58H86N8O8RuS2
分子量 1188.55
二(四丁基铵) 顺式-双(异硫氰基)双(2,2'-联吡啶-4,4'-二羧酸)钌(II)的详细资料
二(四丁基铵) 顺式-双(异硫氰基)双(2,2'-联吡啶-4,4'-二羧酸)钌(II)的供应商
 
资料来源 SDS 样本
Sigma-Aldrich
www.sigmaaldrich.com/catalog/Lookup.do?N5=All&N3=mode+matchpartialmax&N1=S_ID&ST=RS&N25=0&F=PR&D7=0&N4=207347-46-4
浏览或下载
TCI
www.spectrumchemical.com/MSDS/TCI-B3514.pdf
浏览或下载

免责声明

本页所列之化学品安全技术说明书样本系 chemBlink 公司搜集的互联网公开信息,仅用于指导化学品安全技术说明书的编辑与制作。chemBlink 竭诚提供可靠信息,然而不承诺其完备与准确。 阅读全文...




相关化学品安全技术说明书
N2,N2-二乙基-1,3,5-三嗪-2,4,6-三胺   (2R,3S,4S,5R)-3,4,5,6-四羟基四氢吡喃-2-羧酸   1,8-双二甲氨基萘   2-氨基-4,5-二氟苯甲酸甲酯   3-甲氧基-6-甲基苯酚   2-氨基-4-甲氧基苯酚   1-苯基-2-丁胺盐酸盐   柴胡皂苷 C   柴胡皂苷 A   4-羟基-3,5-二甲氧基苯丙醇