Online Database of Chemicals from Around the World

化学品安全技术说明书

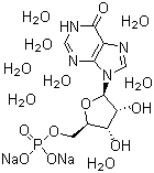
5-肌苷一磷酸二钠盐八水合物
[ CAS# 20813-76-7 ]

产品概述

structure of CAS# 20813-76-7, 5-肌苷一磷酸二钠盐八水合物
产品名称 5-肌苷一磷酸二钠盐八水合物
CAS 登录号 20813-76-7
分子式 C10H11N4Na2O8P.8(H2O)
分子量 536.29
5-肌苷一磷酸二钠盐八水合物的详细资料
5-肌苷一磷酸二钠盐八水合物的供应商
 
资料来源 SDS 样本
Cayman
www.caymanchem.com/msdss/18135m.pdf
浏览或下载

免责声明

本页所列之化学品安全技术说明书样本系 chemBlink 公司搜集的互联网公开信息,仅用于指导化学品安全技术说明书的编辑与制作。chemBlink 竭诚提供可靠信息,然而不承诺其完备与准确。 阅读全文...




相关化学品安全技术说明书
(S)-2-异丙基琥珀酸 1-甲基酯   (5Z)-7-{(1R,2R,3S,5S)-2-[(3R)-3-(2,3-二氢-1H-茚-2-基)-3-羟基-1-丙烯-1-基]-3-氟-5-羟基环戊基}-5-庚烯酸异丙酯   3-(4-甲氧基苯氧基)-丙酸   2-苄基-1H-苯并咪唑-5-羧酸   2-氨基-5-甲基磺酰基噻唑   四氢吡喃-4-醇   4-肼基吡啶盐酸盐   四氧化锇   5-溴-2-氟-4-硝基甲苯   4-(2-氯乙基)哌嗪-1-羧酸叔丁酯