Online Database of Chemicals from Around the World

化学品安全技术说明书

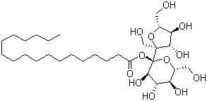
蔗糖硬脂酸酯
[ CAS# 25168-73-4 ]

产品概述

structure of CAS# 25168-73-4, 蔗糖硬脂酸酯
产品名称 蔗糖硬脂酸酯
CAS 登录号 25168-73-4
分子式 C30H56O12
分子量 608.76
蔗糖硬脂酸酯的详细资料
蔗糖硬脂酸酯的供应商
 
资料来源 SDS 样本
Alfa-Aesar
www.alfa.com/en/content/msds/USA/J66845.pdf
浏览或下载
Matrix
www.matrixscientific.com/media/msds/09/98/61/MxMSDS_099861.pdf
浏览或下载

免责声明

本页所列之化学品安全技术说明书样本系 chemBlink 公司搜集的互联网公开信息,仅用于指导化学品安全技术说明书的编辑与制作。chemBlink 竭诚提供可靠信息,然而不承诺其完备与准确。 阅读全文...




相关化学品安全技术说明书
乙基3-(3-吡啶基)-1H-吡唑-5-羧酸酯   1-甲氧基-2-甲基丙烷-2-胺盐酸盐   (1-甲基环丙基)氨基甲酸叔丁酯   2,2,4-三甲基戊烯   2,4-滴异辛酯   五(二乙基氨基)铌(V)   2-丁氧基乙酸   5-氯-2-硝基苯甲酸   2-氯-5-硝基苯甲酸   甲磺酰乙酸