Online Database of Chemicals from Around the World

SDS Samples

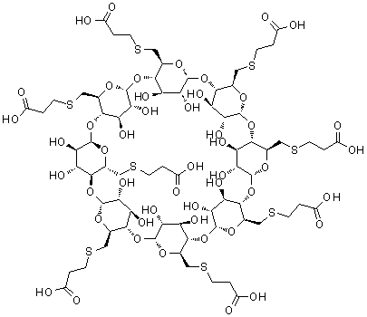
Sugammadex
[ CAS# 343306-71-8 ]

Product Info

structure of CAS# 343306-71-8, Sugammadex
Product Name Sugammadex
CAS Registry Number 343306-71-8
Molecular Formula C72H112O48S8
Molecular Weight 2002.16
More information of Sugammadex
Suppliers of Sugammadex
 
Source SDS Document
Ambeed
file.ambeed.com/static/upload/prosds/am/101/SDS-A100281.pdf
View / download

Disclaimer

The SDS samples above are collected from the Internet by chemBlink and displayed here for the tutorial purpose only. chemBlink LLC provides the information contained herein in good faith but makes no representation as to its comprehensiveness or accuracy. Read full context...


More SDS files for chemicals
3-Chloro-4-fluorobenzaldehyde   3-Bromo-2-oxobutanoic Acid Methyl Ester   3-Allyl-5-(1-methylpyridin-2(1H)-ylidene)rhodanine   4-(Tert-Butoxy)-2,3,5,6-Tetrafluorostyrene   Cadmium Chloride Hydrate   Sugammadex sodium   6-(4-Fluorophenyl)-6-Oxohexanoic Acid   8-AMINO-1-NAPHTHOL-3,6-DISULFONIC ACID MONOSODIUM SALT N-HYDRATE   5-Methyl-2-(4-Trifluoromethyl-Phenyl)-Thiazole-4-Carboxylic Acid   2-(Bromomethyl)-Pyrrolidine Hydrobromide