Online Database of Chemicals from Around the World

化学品安全技术说明书

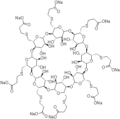
舒更葡糖钠
[ CAS# 343306-79-6 ]

产品概述

structure of CAS# 343306-79-6, 舒更葡糖钠
产品名称 舒更葡糖钠
CAS 登录号 343306-79-6
分子式 C72H104O48S8.8Na
分子量 2178.01
舒更葡糖钠的详细资料
舒更葡糖钠的供应商
 
资料来源 SDS 样本
Cayman
www.caymanchem.com/msdss/24096m.pdf
浏览或下载

免责声明

本页所列之化学品安全技术说明书样本系 chemBlink 公司搜集的互联网公开信息,仅用于指导化学品安全技术说明书的编辑与制作。chemBlink 竭诚提供可靠信息,然而不承诺其完备与准确。 阅读全文...




相关化学品安全技术说明书
3-溴-2-氧代丁酸甲酯   3-烯丙基-5-(1-甲基吡啶-2(1H)-亚基)绕丹宁   4-(叔-丁氧基)-2,3,5,6-四氟苯乙烯   氯化镉水合物   Sugammadex   6-(4-氟苯基)-6-氧代己酸   8-氨基-1-萘酚-3,6-二磺酸单钠盐N-水合物   5-甲基-2-(4-三氟甲基-苯基)-噻唑-4-羧酸   2-(溴甲基)-吡咯烷氢溴酸盐   2-(1,1-二氧代-1,4-噻嗪烷-4-基)乙酸乙酯