Online Database of Chemicals from Around the World

化学品安全技术说明书

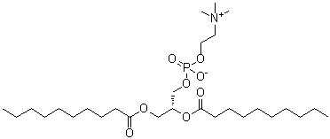
L-二癸酰基磷脂酰胆碱
[ CAS# 3436-44-0 ]

产品概述

structure of CAS# 3436-44-0, L-二癸酰基磷脂酰胆碱
产品名称 L-二癸酰基磷脂酰胆碱
CAS 登录号 3436-44-0
分子式 C28H56NO8P
分子量 565.72
L-二癸酰基磷脂酰胆碱的详细资料
L-二癸酰基磷脂酰胆碱的供应商
 
资料来源 SDS 样本
Sigma-Aldrich
www.sigmaaldrich.com/catalog/Lookup.do?N5=All&N3=mode+matchpartialmax&N1=S_ID&ST=RS&N25=0&F=PR&D7=0&N4=3436-44-0
浏览或下载

免责声明

本页所列之化学品安全技术说明书样本系 chemBlink 公司搜集的互联网公开信息,仅用于指导化学品安全技术说明书的编辑与制作。chemBlink 竭诚提供可靠信息,然而不承诺其完备与准确。 阅读全文...




相关化学品安全技术说明书
4-溴-O-(t-丁基二甲基硅烷基)-2,6-二氯苯酚   1-甲基咪唑-5-甲酰氯盐酸盐   3',4'-二甲基-联苯-3-甲醛   3-{[3-(三氟甲基)苄基]氧基}苯甲醛   新癸酸铋   DL-犬尿氨酸   人参皂苷 Ro   (4-溴-苯基)-(4-三氟甲氧基-苯基)-甲酮   精氨酰-甘氨酰-苯丙氨酰-苯丙氨酸   2-三氟甲基-4-氧代嘧啶-5-羧酸乙酯