Online Database of Chemicals from Around the World

SDS Samples

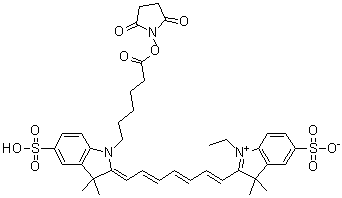
Cy7 (Cyanine 7)
[ CAS# 477908-53-5 ]

Product Info

structure of CAS# 477908-53-5, Cy7 (Cyanine 7)
Product Name Cy7 (Cyanine 7)
CAS Registry Number 477908-53-5
Molecular Formula C39H45N3O10S2
Molecular Weight 779.92
More information of Cy7 (Cyanine 7)
Suppliers of Cy7 (Cyanine 7)
 
Source SDS Document
Ambeed
file.ambeed.com/static/upload/prosds/am/787/SDS-A786248.pdf
View / download

Disclaimer

The SDS samples above are collected from the Internet by chemBlink and displayed here for the tutorial purpose only. chemBlink LLC provides the information contained herein in good faith but makes no representation as to its comprehensiveness or accuracy. Read full context...


More SDS files for chemicals
5-Ethoxy-2-(4-Methoxyphenyl)-1,3-Oxazole   2-Amino-3-bromo-5-cyanopyridine   2-O-beta-D-Glucosyloxy-4-methoxybenzenepropanoic acid   2-(2,5-Dimethyl-1H-Pyrrol-1-Yl)-5-Iodopyridine   Bengenin   N-Carbobenzyloxy-L-aspartic acid 1-benzyl Ester   [2,2,3,3,4,4,5,5,6,6,7,7,8,8,9,9,10,11,11,11-Eicosafluoro-10-(Trifluoromethyl)-Undecyl]Oxirane   2-Phenyl-Quinoline-4-Carboxylic Acid Hydrazide   Sodium 1-Butanethiolate   Norfenefrine hydrochloride