Online Database of Chemicals from Around the World

化学品安全技术说明书

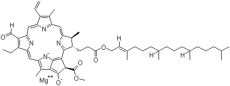
叶绿素 B
[ CAS# 519-62-0 ]

产品概述

structure of CAS# 519-62-0, 叶绿素 B
产品名称 叶绿素 B
CAS 登录号 519-62-0
分子式 C55H70MgN4O6
分子量 907.47
叶绿素 B的详细资料
叶绿素 B的供应商
 
资料来源 SDS 样本
Sigma-Aldrich
www.sigmaaldrich.com/catalog/Lookup.do?N5=All&N3=mode+matchpartialmax&N1=S_ID&ST=RS&N25=0&F=PR&D7=0&N4=519-62-0
浏览或下载
Carl-Roth
www.carlroth.com/downloads/sdb/en/6/SDB_6365_GB_EN.pdf
浏览或下载

免责声明

本页所列之化学品安全技术说明书样本系 chemBlink 公司搜集的互联网公开信息,仅用于指导化学品安全技术说明书的编辑与制作。chemBlink 竭诚提供可靠信息,然而不承诺其完备与准确。 阅读全文...




相关化学品安全技术说明书
碳酸钡(碳13)   硫赭曲菌素   4-氯-5-甲基嘧啶   4-(2,4-二特戊基苯氧基)丁胺   3-甲基-5-乙烯基吡啶   1,3-二氢-6-甲基-呋喃并[3,4-c]吡啶-7-醇   (7S,9E,11S,12R,13S,14R,15R,16R,17S,18S,26E)-2,15,17,29-四羟基-26-{[羟基(4-甲基-1-哌嗪基)氨基]亚甲基}-11-甲氧基-3,7,12,14,16,18,22-七甲基-6,23,27-三氧代-8,30-二氧杂-24-氮杂四环[23.3.1.14,7.05,28]三十碳-1(28),2,4,9,19,21,25(29)-庚烯-13-基乙酸酯   磷酸腺苷钠   2,5-二乙氧基-4-吗啉基苯胺   3-(3-羟基苯基)-1,3-噻唑烷-2,4-二酮