Online Database of Chemicals from Around the World

化学品安全技术说明书

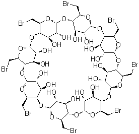
八-(6-溴-6-脱氧)-gamma-环糊精
[ CAS# 53784-84-2 ]

产品概述

structure of CAS# 53784-84-2, 八-(6-溴-6-脱氧)-gamma-环糊精
产品名称 八-(6-溴-6-脱氧)-gamma-环糊精
CAS 登录号 53784-84-2
分子式 C48H72Br8O32
分子量 1800.30
八-(6-溴-6-脱氧)-gamma-环糊精的详细资料
八-(6-溴-6-脱氧)-gamma-环糊精的供应商
 
资料来源 SDS 样本
Ambeed
file.ambeed.com/static/upload/prosds/am/417/SDS-A416532.pdf
浏览或下载

免责声明

本页所列之化学品安全技术说明书样本系 chemBlink 公司搜集的互联网公开信息,仅用于指导化学品安全技术说明书的编辑与制作。chemBlink 竭诚提供可靠信息,然而不承诺其完备与准确。 阅读全文...




相关化学品安全技术说明书
4-[5-(羟基甲基)-2-呋喃基]苯甲酸   3-(1,3,4-恶二唑-2-基)苯酚   3,3-二甲基环丁烷甲腈   2,3,4-三-O-乙酰基-beta-D-吡喃木糖基叠氮化物   七(6-溴-6-脱氧)-beta-环糊精   5-苯基-1H-四唑   4-(2-酮基-3-甲基-1-苯并咪唑基)哌啶   5-氯-1,3-二氢-1-(4-哌啶基)-2H-苯并咪唑-2-酮   4-[(2-氨基-4-氯苯基)氨基]-1-哌啶羧酸乙酯   2-氯乙基环己基硫醚