Online Database of Chemicals from Around the World

SDS Samples

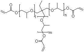
Trimethylolpropane propoxylate triacrylate
[ CAS# 53879-54-2 ]

Product Info

structure of CAS# 53879-54-2, Trimethylolpropane propoxylate triacrylate
Product Name Trimethylolpropane propoxylate triacrylate
CAS Registry Number 53879-54-2
More information of Trimethylolpropane propoxylate triacrylate
Suppliers of Trimethylolpropane propoxylate triacrylate
 
Source SDS Document
Sigma-Aldrich
www.sigmaaldrich.com/catalog/Lookup.do?N5=All&N3=mode+matchpartialmax&N1=S_ID&ST=RS&N25=0&F=PR&D7=0&N4=53879-54-2
View / download

Disclaimer

The SDS samples above are collected from the Internet by chemBlink and displayed here for the tutorial purpose only. chemBlink LLC provides the information contained herein in good faith but makes no representation as to its comprehensiveness or accuracy. Read full context...


More SDS files for chemicals
(+)-(3aR,4R,5r,6aS)-Hexahydro-5-hydroxy-4-[(1E,3R)-3-hydroxy-4-(3-trifluoromethyl)phenoxy-1-butenyl]-2H-cyclopenta[b]furan-2-one   3-Bromo-2,6-dimethylaniline   3-Phenoxybenzyl chloride   Dibenzyl sulphide   Dicyclohexylcarbodiimide   (E,E)-1,4-Diphenylbutadiene   Lodoxamide   2-Methylaminopyrimidine-5-carboxylic acid   2-Bromobenzoylacetonitrile   3-Methylbenzoylacetonitrile