Online Database of Chemicals from Around the World

化学品安全技术说明书

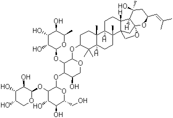
酸枣仁皂苷 B
[ CAS# 55466-05-2 ]

产品概述

structure of CAS# 55466-05-2, 酸枣仁皂苷 B
产品名称 酸枣仁皂苷 B
CAS 登录号 55466-05-2
分子式 C52H84O21
分子量 1045.21
酸枣仁皂苷 B的详细资料
酸枣仁皂苷 B的供应商
 
资料来源 SDS 样本
Sigma-Aldrich
www.sigmaaldrich.com/catalog/Lookup.do?N5=All&N3=mode+matchpartialmax&N1=S_ID&ST=RS&N25=0&F=PR&D7=0&N4=55466-05-2
浏览或下载

免责声明

本页所列之化学品安全技术说明书样本系 chemBlink 公司搜集的互联网公开信息,仅用于指导化学品安全技术说明书的编辑与制作。chemBlink 竭诚提供可靠信息,然而不承诺其完备与准确。 阅读全文...




相关化学品安全技术说明书
醋甲唑胺   1,3-二甲基-1H-吡唑-5-甲酰氯   糖脂   离子交换树脂 Amberlite IRP 69   酸枣仁皂苷 A   变溶菌素   固定化蛇静脉酶   七(乙酸)氧化三钌   三乙胺盐酸盐   3-(2-甲氧基-5-甲基苯基)-1-丙烯