Online Database of Chemicals from Around the World

化学品安全技术说明书

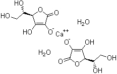
抗坏血酸钙
[ CAS# 5743-28-2 ]

产品概述

structure of CAS# 5743-28-2, 抗坏血酸钙
产品名称 抗坏血酸钙
CAS 登录号 5743-28-2
分子式 C12H14CaO12.2(H2O)
分子量 426.34
抗坏血酸钙的详细资料
抗坏血酸钙的供应商
 
资料来源 SDS 样本
Sigma-Aldrich
www.sigmaaldrich.com/catalog/Lookup.do?N5=All&N3=mode+matchpartialmax&N1=S_ID&ST=RS&N25=0&F=PR&D7=0&N4=5743-28-2
浏览或下载
SRL
www.srlchem.com/msds/SRL-SDS-5743-28-2-12535-L-Ascorbic Acid Calcium Salt Dihydrate extrapure, 99_.pdf
浏览或下载

免责声明

本页所列之化学品安全技术说明书样本系 chemBlink 公司搜集的互联网公开信息,仅用于指导化学品安全技术说明书的编辑与制作。chemBlink 竭诚提供可靠信息,然而不承诺其完备与准确。 阅读全文...




相关化学品安全技术说明书
异戊巴比妥   一水乙酸钙   马来酸甲麦角新碱   L-2-氨基-3-(5-羟基吲哚基)丙酸乙酯盐酸盐   抗坏血酸钙   苯甲酸钙三水和物   硼葡萄糖酸钙   丁酸钙   L-乳酸钙五水合物   乙酰丙酸钙二水合物