Online Database of Chemicals from Around the World

化学品安全技术说明书

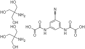
洛度沙胺氨丁三醇
[ CAS# 63610-09-3 ]

产品概述

structure of CAS# 63610-09-3, 洛度沙胺氨丁三醇
产品名称 洛度沙胺氨丁三醇
CAS 登录号 63610-09-3
分子式 C11H6ClN3O6.2(C4H11NO3)
分子量 553.14
洛度沙胺氨丁三醇的详细资料
洛度沙胺氨丁三醇的供应商
 
资料来源 SDS 样本
Matrix
www.matrixscientific.com/media/msds/14/33/36/MxMSDS_143336.pdf
浏览或下载

免责声明

本页所列之化学品安全技术说明书样本系 chemBlink 公司搜集的互联网公开信息,仅用于指导化学品安全技术说明书的编辑与制作。chemBlink 竭诚提供可靠信息,然而不承诺其完备与准确。 阅读全文...




相关化学品安全技术说明书
2-溴-5-甲氧基苯酚   4-(苯氧基甲基)哌啶鎓氯化物   4-[(4-氯苯氧基)甲基]哌啶   1,4-苯二甲酸二乙酯   吲哚布芬   2-氯-5-硝基苯甲醛   2-氯-6-硝基苯甲醛   2,5-二氯苯甲醛   尼鲁米特   3-苄基-3-氮杂双环[3.1.0]己烷-1-羧酸