Online Database of Chemicals from Around the World

化学品安全技术说明书

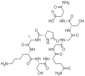
诺那莫林
[ CAS# 63958-90-7 ]

产品概述

structure of CAS# 63958-90-7, 诺那莫林
产品名称 诺那莫林
CAS 登录号 63958-90-7
分子式 C33H54N12O15
分子量 858.86
诺那莫林的详细资料
诺那莫林的供应商
 
资料来源 SDS 样本
Alfa-Aesar
www.alfa.com/en/content/msds/USA/J66656.pdf
浏览或下载

免责声明

本页所列之化学品安全技术说明书样本系 chemBlink 公司搜集的互联网公开信息,仅用于指导化学品安全技术说明书的编辑与制作。chemBlink 竭诚提供可靠信息,然而不承诺其完备与准确。 阅读全文...




相关化学品安全技术说明书
4,4'-双(3-氨基苯氧基)二苯甲酮   N-(2,6-二氟苯基)-4-甲基苯甲酰胺   2-(2-氯苯基)-1,3-噻唑-4-甲醛   3,5-二氟水杨醛   三苯基氯化锡   二碘三苯基膦烷   2-(甲硫基)-4-喹唑啉胺   1,1'-亚甲基二(4-甲基哌啶)   1-(2,6-二甲基苯基)-2-硫脲   青蒿素