Online Database of Chemicals from Around the World

化学品安全技术说明书

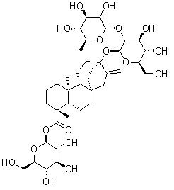
杜克甙 A
[ CAS# 64432-06-0 ]

产品概述

structure of CAS# 64432-06-0, 杜克甙 A
产品名称 杜克甙 A
CAS 登录号 64432-06-0
分子式 C38H60O17
分子量 788.87
杜克甙 A的详细资料
杜克甙 A的供应商
 
资料来源 SDS 样本
Sigma-Aldrich
www.sigmaaldrich.com/catalog/Lookup.do?N5=All&N3=mode+matchpartialmax&N1=S_ID&ST=RS&N25=0&F=PR&D7=0&N4=64432-06-0
浏览或下载

免责声明

本页所列之化学品安全技术说明书样本系 chemBlink 公司搜集的互联网公开信息,仅用于指导化学品安全技术说明书的编辑与制作。chemBlink 竭诚提供可靠信息,然而不承诺其完备与准确。 阅读全文...




相关化学品安全技术说明书
1-乙基-1-苯基肼   三(乙酰基丙酮)镧水合物   4-(乙基氨基)正丁胺   5-氧代-DL-脯氨酸 3,7-二甲基-6-辛烯基酯   1,3-双((三羟甲基)甲基氨基)丙烷   二苯甲酰二硫醚   2-正丙基苯酚   邻甲基苯乙酸   砷甜菜碱   2,2-二甲基-1-(4-氟苯基)-1-丙酮