Online Database of Chemicals from Around the World

化学品安全技术说明书

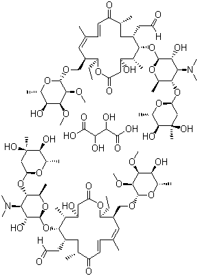
酒石酸泰洛星
[ CAS# 74610-55-2 ]

产品概述

structure of CAS# 74610-55-2, 酒石酸泰洛星
产品名称 酒石酸泰洛星
CAS 登录号 74610-55-2
分子式 2(C46H77NO17).C4H6O6
分子量 1982.29
酒石酸泰洛星的详细资料
酒石酸泰洛星的供应商
 
资料来源 SDS 样本
Acros-Organics
www.acros.com/DesktopModules/Acros_Search_Results/Acros_Search_Results.aspx?search_type=CAS&SearchString=74610-55-2
浏览或下载
Matrix
www.matrixscientific.com/media/msds/09/40/10/MxMSDS_094010.pdf
浏览或下载

免责声明

本页所列之化学品安全技术说明书样本系 chemBlink 公司搜集的互联网公开信息,仅用于指导化学品安全技术说明书的编辑与制作。chemBlink 竭诚提供可靠信息,然而不承诺其完备与准确。 阅读全文...




相关化学品安全技术说明书
1,2-二氢-2-氧代-4-嘧啶甲醛肟   2-乙酰氨基-4-(氯甲基)噻唑   二乙二醇双对甲苯磺酸酯   硬脂酸缩水甘油基酯   6'-N-乙酰神经胺-乳糖钠盐   Methiothepin Mesylate Serotinin 5-HT(1) ANT   3-氰基-2-(N-丁基氨基)吡啶   [2-(全氟辛基)乙基]二甲基氯硅烷   4-氯-N-异丙基苯甲酰胺   4-氨基-2-氯嘧啶