Online Database of Chemicals from Around the World

化学品安全技术说明书

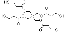
季戊四醇四(3-巯基丙酸酯)
[ CAS# 7575-23-7 ]

产品概述

structure of CAS# 7575-23-7, 季戊四醇四(3-巯基丙酸酯)
产品名称 季戊四醇四(3-巯基丙酸酯)
CAS 登录号 7575-23-7
分子式 C17H28O8S4
分子量 488.66
季戊四醇四(3-巯基丙酸酯)的详细资料
季戊四醇四(3-巯基丙酸酯)的供应商
 
资料来源 SDS 样本
Sigma-Aldrich
www.sigmaaldrich.com/catalog/Lookup.do?N5=All&N3=mode+matchpartialmax&N1=S_ID&ST=RS&N25=0&F=PR&D7=0&N4=7575-23-7
浏览或下载
TCI
www.spectrumchemical.com/MSDS/TCI-P0886.pdf
浏览或下载

免责声明

本页所列之化学品安全技术说明书样本系 chemBlink 公司搜集的互联网公开信息,仅用于指导化学品安全技术说明书的编辑与制作。chemBlink 竭诚提供可靠信息,然而不承诺其完备与准确。 阅读全文...




相关化学品安全技术说明书
2-乙基-6-甲基苯基异氰酸酯   替拉替尼   D-苏氨酸苄酯盐酸盐   2-氮杂螺[4.4]壬烷-3-酮   甲基磺酸   2,2'-(4-氨基苯基亚氨基)二乙醇   P-2-丙烯-1-基-膦酸二甲酯   5-苯基吡啶-2-羧酸   P,P'-[2-(3-吡啶基)亚乙基]二膦酸   十二烷基二苯醚二磺酸钠