Online Database of Chemicals from Around the World

化学品安全技术说明书

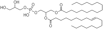
1-棕榈酰-2-油酰磷脂酰甘油
[ CAS# 81490-05-3 ]

产品概述

structure of CAS# 81490-05-3, 1-棕榈酰-2-油酰磷脂酰甘油
产品名称 1-棕榈酰-2-油酰磷脂酰甘油
CAS 登录号 81490-05-3
分子式 C40H77O10P
分子量 749.01
1-棕榈酰-2-油酰磷脂酰甘油的详细资料
1-棕榈酰-2-油酰磷脂酰甘油的供应商
 
资料来源 SDS 样本
Sigma-Aldrich
www.sigmaaldrich.com/catalog/Lookup.do?N5=All&N3=mode+matchpartialmax&N1=S_ID&ST=RS&N25=0&F=PR&D7=0&N4=81490-05-3
浏览或下载

免责声明

本页所列之化学品安全技术说明书样本系 chemBlink 公司搜集的互联网公开信息,仅用于指导化学品安全技术说明书的编辑与制作。chemBlink 竭诚提供可靠信息,然而不承诺其完备与准确。 阅读全文...




相关化学品安全技术说明书
乳酸钙   溶剂紫 13   Peretinoin   草酸铝   草酸钴 (II)    草酸铜   N-(3-哌啶基)丁酰胺   5-溴-4-氯噻吩并[2,3-d]嘧啶   1-氨基-2,4-二溴蒽醌   草酸铅