Online Database of Chemicals from Around the World

化学品安全技术说明书

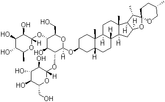
天冬宁 B
[ CAS# 84633-34-1 ]

产品概述

structure of CAS# 84633-34-1, 天冬宁 B
产品名称 天冬宁 B
CAS 登录号 84633-34-1
分子式 C45H74O17
分子量 887.06
天冬宁 B的详细资料
天冬宁 B的供应商
 
资料来源 SDS 样本
Sigma-Aldrich
www.sigmaaldrich.com/catalog/Lookup.do?N5=All&N3=mode+matchpartialmax&N1=S_ID&ST=RS&N25=0&F=PR&D7=0&N4=84633-34-1
浏览或下载

免责声明

本页所列之化学品安全技术说明书样本系 chemBlink 公司搜集的互联网公开信息,仅用于指导化学品安全技术说明书的编辑与制作。chemBlink 竭诚提供可靠信息,然而不承诺其完备与准确。 阅读全文...




相关化学品安全技术说明书
伊曲康唑   芬地柞酸   邻苯二甲酸二苯基酯   alpha-乙基-4-甲基-1-哌嗪乙胺   颜料红 254   甲基 2,3,4-三-O-乙酰基-1-硫代-beta-L-吡喃海藻糖苷   乙酰基缬草烯酸   7-羟基吲哚-2-甲酸   1,2-苯二羧酸 1-丁基 2-环己基酯   丁酸 1-甲基-2-氧代丙酯