Online Database of Chemicals from Around the World

化学品安全技术说明书

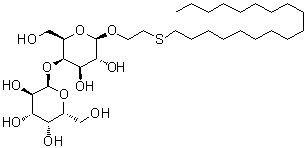
2-(十八烷基硫基)乙基 4-O-alpha-D-吡喃半乳糖基-beta-D-吡喃半乳糖苷
[ CAS# 87019-34-9 ]

产品概述

structure of CAS# 87019-34-9, 2-(十八烷基硫基)乙基 4-O-alpha-D-吡喃半乳糖基-beta-D-吡喃半乳糖苷
产品名称 2-(十八烷基硫基)乙基 4-O-alpha-D-吡喃半乳糖基-beta-D-吡喃半乳糖苷
CAS 登录号 87019-34-9
分子式 C32H62O11S
分子量 654.89
2-(十八烷基硫基)乙基 4-O-alpha-D-吡喃半乳糖基-beta-D-吡喃半乳糖苷的详细资料
2-(十八烷基硫基)乙基 4-O-alpha-D-吡喃半乳糖基-beta-D-吡喃半乳糖苷的供应商
 
资料来源 SDS 样本
Sigma-Aldrich
www.sigmaaldrich.com/catalog/Lookup.do?N5=All&N3=mode+matchpartialmax&N1=S_ID&ST=RS&N25=0&F=PR&D7=0&N4=87019-34-9
浏览或下载

免责声明

本页所列之化学品安全技术说明书样本系 chemBlink 公司搜集的互联网公开信息,仅用于指导化学品安全技术说明书的编辑与制作。chemBlink 竭诚提供可靠信息,然而不承诺其完备与准确。 阅读全文...




相关化学品安全技术说明书
阿吡莫德甲磺酸盐   他拉罗唑   9-(3-(4,4,5,5-四甲基-1,3,2-二氧硼杂环戊烷-2-基)苯基)咔唑   4-氯-1,6-二甲基-1H-咪唑并[4,5-c]吡啶   7-二甲氨基-4-甲基香豆素   2-氯苯硼酸频哪醇酯   4-氰基-4-[[(十二烷硫基)硫酮甲基]硫基]戊酸   2-氰基-2-丙基 十二烷基 三硫代碳酸酯   2-氟-5-羟基-4-甲基苯甲酸   2-氟-5-甲氧基-4-甲基苯甲酸