Online Database of Chemicals from Around the World

化学品安全技术说明书

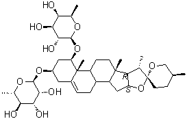
麦冬皂苷 B
[ CAS# 87425-34-1 ]

产品概述

structure of CAS# 87425-34-1, 麦冬皂苷 B
产品名称 麦冬皂苷 B
CAS 登录号 87425-34-1
分子式 C39H62O12
分子量 722.90
麦冬皂苷 B的详细资料
麦冬皂苷 B的供应商
 
资料来源 SDS 样本
Sigma-Aldrich
www.sigmaaldrich.com/catalog/Lookup.do?N5=All&N3=mode+matchpartialmax&N1=S_ID&ST=RS&N25=0&F=PR&D7=0&N4=87425-34-1
浏览或下载

免责声明

本页所列之化学品安全技术说明书样本系 chemBlink 公司搜集的互联网公开信息,仅用于指导化学品安全技术说明书的编辑与制作。chemBlink 竭诚提供可靠信息,然而不承诺其完备与准确。 阅读全文...




相关化学品安全技术说明书
5-羧基-2-氟苯硼酸   [5-(乙氧羰基)-2-氟苯基]硼酸   6-氯嘌呤   2-乙酰基环己酮   3-羟基-2-吡啶甲酸   3-氯-2-甲基苯甲醛   2-甲基磺酰基嘧啶-4-甲醛   3-溴-2-氟苯乙腈   2-氯-3-氟苄溴   2-氯-4,5-二氟苄基溴