Online Database of Chemicals from Around the World

化学品安全技术说明书

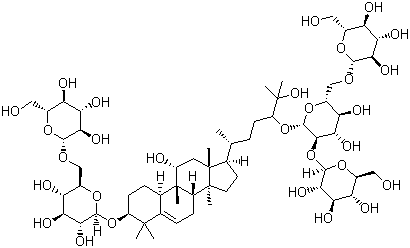
罗汉果糖苷 V
[ CAS# 88901-36-4 ]

产品概述

structure of CAS# 88901-36-4, 罗汉果糖苷 V
产品名称 罗汉果糖苷 V
CAS 登录号 88901-36-4
分子式 C60H102O29
分子量 1287.43
罗汉果糖苷 V的详细资料
罗汉果糖苷 V的供应商
 
资料来源 SDS 样本
Sigma-Aldrich
www.sigmaaldrich.com/catalog/Lookup.do?N5=All&N3=mode+matchpartialmax&N1=S_ID&ST=RS&N25=0&F=PR&D7=0&N4=88901-36-4
浏览或下载
Cayman
www.caymanchem.com/msdss/19853m.pdf
浏览或下载

免责声明

本页所列之化学品安全技术说明书样本系 chemBlink 公司搜集的互联网公开信息,仅用于指导化学品安全技术说明书的编辑与制作。chemBlink 竭诚提供可靠信息,然而不承诺其完备与准确。 阅读全文...




相关化学品安全技术说明书
(S)-1-N-芴甲氧羰基-2-甲基哌嗪   (S)-1-叔丁氧羰基-2-丙基哌嗪   心房利尿钠因子 (1-28) (小鼠)   巴佛洛霉素 A1   世田霉素   罗汉果皂苷 III-A1   罗汉果皂苷 II-A2   光溜海绵素 C   N-叔丁基-3-(2-羟基异丙基)-5-氧代-2,5-二氢-1H-1,2,4-三氮唑-1-甲酰胺   4-(1,3-二氧代-1H-苯并[De]异喹啉-2(3H)-基)丁酸