Online Database of Chemicals from Around the World

SDS Samples

Methyl cellulose
[ CAS# 9004-67-5 ]

Product Info

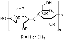
structure of CAS# 9004-67-5, Methyl cellulose
Product Name Methyl cellulose
CAS Registry Number 9004-67-5
More information of Methyl cellulose
Suppliers of Methyl cellulose
 
Source SDS Document
Alfa-Aesar
www.alfa.com/en/content/msds/USA/36718.pdf
View / download
Sigma-Aldrich
www.sigmaaldrich.com/catalog/Lookup.do?N5=All&N3=mode+matchpartialmax&N1=S_ID&ST=RS&N25=0&F=PR&D7=0&N4=9004-67-5
View / download
TCI
www.spectrumchemical.com/MSDS/TCI-M0185.pdf
View / download

Disclaimer

The SDS samples above are collected from the Internet by chemBlink and displayed here for the tutorial purpose only. chemBlink LLC provides the information contained herein in good faith but makes no representation as to its comprehensiveness or accuracy. Read full context...


More SDS files for chemicals
Hyaluronic acid   Hydroxyethyl Cellulose   Hydroxypropyl cellulose   Hydroxypropyl methyl cellulose   Iron-dextran    Nitrocellulose   Polymethylhydrosiloxane   Methoxypolyethylene glycols   Poly(ethylene glycol) butyl ether   Polyethylene glycol monolaurate