Online Database of Chemicals from Around the World

化学品安全技术说明书

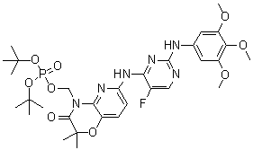
磷酸 二叔丁基 [6-[[5-氟-2-[(3,4,5-三甲氧基苯基)氨基]-4-嘧啶基]氨基]-2,3-二氢-2,2-二甲基-3-氧代-4H-吡啶并[3,2-b]-1,4-恶嗪-4-基]甲基酯
[ CAS# 901119-38-8 ]

产品概述

structure of CAS# 901119-38-8, 磷酸 二叔丁基 [6-[[5-氟-2-[(3,4,5-三甲氧基苯基)氨基]-4-嘧啶基]氨基]-2,3-二氢-2,2-二甲基-3-氧代-4H-吡啶并[3,2-b]-1,4-恶嗪-4-基]甲基酯
产品名称 磷酸 二叔丁基 [6-[[5-氟-2-[(3,4,5-三甲氧基苯基)氨基]-4-嘧啶基]氨基]-2,3-二氢-2,2-二甲基-3-氧代-4H-吡啶并[3,2-b]-1,4-恶嗪-4-基]甲基酯
CAS 登录号 901119-38-8
分子式 C31H42FN6O9P
分子量 692.67
磷酸 二叔丁基 [6-[[5-氟-2-[(3,4,5-三甲氧基苯基)氨基]-4-嘧啶基]氨基]-2,3-二氢-2,2-二甲基-3-氧代-4H-吡啶并[3,2-b]-1,4-恶嗪-4-基]甲基酯的详细资料
磷酸 二叔丁基 [6-[[5-氟-2-[(3,4,5-三甲氧基苯基)氨基]-4-嘧啶基]氨基]-2,3-二氢-2,2-二甲基-3-氧代-4H-吡啶并[3,2-b]-1,4-恶嗪-4-基]甲基酯的供应商
 
资料来源 SDS 样本
Ambeed
file.ambeed.com/static/upload/prosds/am/377/SDS-A376737.pdf
浏览或下载

免责声明

本页所列之化学品安全技术说明书样本系 chemBlink 公司搜集的互联网公开信息,仅用于指导化学品安全技术说明书的编辑与制作。chemBlink 竭诚提供可靠信息,然而不承诺其完备与准确。 阅读全文...




相关化学品安全技术说明书
甲基乙烯基醚-马来酸酐共聚物   1,1-二氟乙烯-全氟丙烯共聚物   3-环己基-1H-1,2,4-三唑-5-胺   硫酸葡聚糖钠盐   Fostamatinib   2-甲基丙烯酸丁酯与 2-甲基丙烯酸 2-甲基丙基酯的聚合物   1-溴化萘   溶葡球菌酶   1-甲基萘   纤维素三乙酸酯