Online Database of Chemicals from Around the World

化学品安全技术说明书

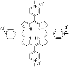
5,10,15,20-四(N-甲基-4-吡啶鎓)-21,23H-四氯化卟啉
[ CAS# 92739-63-4 ]

产品概述

structure of CAS# 92739-63-4, 5,10,15,20-四(N-甲基-4-吡啶鎓)-21,23H-四氯化卟啉
产品名称 5,10,15,20-四(N-甲基-4-吡啶鎓)-21,23H-四氯化卟啉
CAS 登录号 92739-63-4
分子式 C44H38Cl4N8
分子量 820.66
5,10,15,20-四(N-甲基-4-吡啶鎓)-21,23H-四氯化卟啉的详细资料
5,10,15,20-四(N-甲基-4-吡啶鎓)-21,23H-四氯化卟啉的供应商
 
资料来源 SDS 样本
Ambeed
file.ambeed.com/static/upload/prosds/am/987/SDS-A986171.pdf
浏览或下载

免责声明

本页所列之化学品安全技术说明书样本系 chemBlink 公司搜集的互联网公开信息,仅用于指导化学品安全技术说明书的编辑与制作。chemBlink 竭诚提供可靠信息,然而不承诺其完备与准确。 阅读全文...




相关化学品安全技术说明书
2-(2-溴苯基)-2,3-二氢-1H-萘并[1,8-de][1,3,2]二氮杂硼杂环己二烯   2-(3-溴苯基)-2,3-二氢-1H-萘并[1,8-de][1,3,2]二氮杂硼杂环己二烯   2-(4-溴苯基)-2,3-二氢-1H-萘并[1,8-de][1,3,2]二氮杂硼杂环己二烯   N,N-二甲基氮杂环丁烷-3-甲酰胺盐酸盐   (6,6'-二甲氧基-2,2'-联苯二基)二[二(3,4,5-三甲氧基苯基)膦]   色酚 AS-PH   二氯[1,3-二(2-甲基苯基)-2-咪唑烷基亚基](亚苄基)(三环己基膦)钌(II)   二氯[1,3-二(2-甲基苯基)-2-咪唑烷基亚基](2-异丙氧基苯基亚甲基)钌(II)   7-十三烷醇   2-溴苯磺酰胺