Online Database of Chemicals from Around the World

SDS Samples

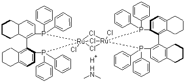
Dimethylammonium dichlorotri(chloro)bis[(S)-(-)-2,2'-bis(diphenylphosphino)-5,5',6,6',7,7',8,8'-octahydro-1,1'-binaphthyl]diruthenate(II)
[ CAS# 944451-12-1 ]

Product Info

structure of CAS# 944451-12-1, Dimethylammonium dichlorotri(chloro)bis[(S)-(-)-2,2'-bis(diphenylphosphino)-5,5',6,6',7,7',8,8'-octahydro-1,1'-binaphthyl]diruthenate(II)
Product Name Dimethylammonium dichlorotri(chloro)bis[(S)-(-)-2,2'-bis(diphenylphosphino)-5,5',6,6',7,7',8,8'-octahydro-1,1'-binaphthyl]diruthenate(II)
CAS Registry Number 944451-12-1
Molecular Formula C88H80Cl5P4Ru2.C2H7N.H
Molecular Weight 1686.97
More information of Dimethylammonium dichlorotri(chloro)bis[(S)-(-)-2,2'-bis(diphenylphosphino)-5,5',6,6',7,7',8,8'-octahydro-1,1'-binaphthyl]diruthenate(II)
Suppliers of Dimethylammonium dichlorotri(chloro)bis[(S)-(-)-2,2'-bis(diphenylphosphino)-5,5',6,6',7,7',8,8'-octahydro-1,1'-binaphthyl]diruthenate(II)
 
Source SDS Document
Sigma-Aldrich
www.sigmaaldrich.com/catalog/Lookup.do?N5=All&N3=mode+matchpartialmax&N1=S_ID&ST=RS&N25=0&F=PR&D7=0&N4=944451-12-1
View / download
Strem
www.strem.com/uploads/sds/sd44-0517_US.pdf
View / download

Disclaimer

The SDS samples above are collected from the Internet by chemBlink and displayed here for the tutorial purpose only. chemBlink LLC provides the information contained herein in good faith but makes no representation as to its comprehensiveness or accuracy. Read full context...


More SDS files for chemicals
2-Bromo-1-[4-(3-bromo-2-thienyl)phenyl]ethanone   5-[(Methylamino)methyl]-N-phenyl-2-pyrimidinamine   5-(Morpholin-4-ium-4-ylmethyl)-1,2-oxazole-3-carboxylate   Dimethylammonium dichlorotri(mu-chloro)bis[(R)-(+)-2,2'-bis[di(3,5-xylyl)phosphino]-1,1'-binaphthyl]diruthenate(II)   Dimethylammonium dichlorotri(mu-chloro)bis[(R)-(+)-2,2'-bis(di-p-tolylphosphino)-1,1'-binaphthyl]diruthenate(II)   (S)-[(RUCL(DM-SEGPHOS))2(mu-CL)3][NH2ME2]   Chloro[(S)-(-)-2,2'-bis[di(3,5-xylyl)phosphino]-1,1'-binaphthyl](p-cymene)ruthenium(II) chloride   Chloro[(S)-(-)-2,2'-bis[di(3,5-xylyl)phosphino]-1,1'-binaphthyl](p-cymene)ruthenium(II) chloride   [(R)-(+)-2,2'-Bis(diphenylphosphino)-5,5',6,6',7,7',8,8'-octahydro-1,1'-binaphthyl](p-cymene)ruthenium(II) dichloride   [(S)-(+)-2,2'-Bis(diphenylphosphino)-5,5',6,6',7,7',8,8'-octahydro-1,1'-binaphthyl](p-cymene)ruthenium(II) dichloride