Online Database of Chemicals from Around the World

4-氨基-2-[4,6-二氨基-3-[3-氨基-6-(氨基甲基)-4-氟-5-羟基四氢吡喃-2-基]氧基-2-羟基环己基]氧基-6-(羟基甲基)四氢吡喃-3,5-二醇
[CAS# 100343-10-0]

供应商
CAS#: 100343-10-0
产品: 4-氨基-2-[4,6-二氨基-3-[3-氨基-6-(氨基甲基)-4-氟-5-羟基四氢吡喃-2-基]氧基-2-羟基环己基]氧基-6-(羟基甲基)四氢吡喃-3,5-二醇
暂时没有厂家供应该产品。
基本信息
产品名称 4-氨基-2-[4,6-二氨基-3-[3-氨基-6-(氨基甲基)-4-氟-5-羟基四氢吡喃-2-基]氧基-2-羟基环己基]氧基-6-(羟基甲基)四氢吡喃-3,5-二醇
英文名 4-Amino-2-[4,6-Diamino-3-[3-Amino-6-(Aminomethyl)-4-Fluoro-5-Hydroxyoxan-2-Yl]Oxy-2-Hydroxycyclohexyl]Oxy-6-(Hydroxymethyl)Oxane-3,5-Diol
别名 4-Amino-2-[4,6-Diamino-3-[3-Amino-6-(Aminomethyl)-4-Fluoro-5-Hydroxy-Tetrahydropyran-2-Yl]Oxy-2-Hydroxy-Cyclohexoxy]-6-(Hydroxymethyl)Tetrahydropyran-3,5-Diol; 4-Amino-2-[4,6-Diamino-3-[[3-Amino-6-(Aminomethyl)-4-Fluoro-5-Hydroxy-2-Tetrahydropyranyl]Oxy]-2-Hydroxycyclohexoxy]-6-(Hydroxymethyl)Tetrahydropyran-3,5-Diol; 4-Amino-2-[4,6-Diamino-3-[3-Amino-6-(Aminomethyl)-4-Fluoro-5-Hydroxy-Tetrahydropyran-2-Yl]Oxy-2-Hydroxy-Cyclohexoxy]-6-Methylol-Tetrahydropyran-3,5-Diol
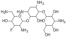
分子结构 CAS 登录号:100343-10-0, 4-氨基-2-[4,6-二氨基-3-[3-氨基-6-(氨基甲基)-4-氟-5-羟基四氢吡喃-2-基]氧基-2-羟基环己基]氧基-6-(羟基甲基)四氢吡喃-3,5-二醇
分子式 C18H36FN5O9
分子量 485.51
CAS 登录号 100343-10-0
分子行输入简码 SMILES C(C1C(C(C(C(O1)OC2C(C(C(CC2N)N)OC3C(C(C(C(O3)CN)O)F)N)O)O)N)O)O
国际化学标识码 InChI 1S/C18H36FN5O9/c19-8-9(23)17(30-6(2-20)11(8)26)32-15-4(21)1-5(22)16(14(15)29)33-18-13(28)10(24)12(27)7(3-25)31-18/h4-18,25-29H,1-3,20-24H2
国际化学标识检索码 InChIKey DFFQPQNEFBOPNQ-UHFFFAOYSA-N
物理化学性质
密度 1.559g/cm3 (计算值)
沸点 781.999°C at 760 mmHg (计算值)
闪点 426.738°C (计算值)
市场分析报告
请浏览4-氨基-2-[4,6-二氨基-3-[3-氨基-6-(氨基甲基)-4-氟-5-羟基四氢吡喃-2-基]氧基-2-羟基环己基]氧基-6-(羟基甲基)四氢吡喃-3,5-二醇市场分析报告总目录
相关产品
偶氮苯氯化物  N-[(E,2S,3S)-1-[(2R,3R,4R...  2-氯-N-(2-乙氧基乙基)-N-(2-甲氧基苯...  2-溴-3-苯基-4-[(苯基甲基氨基)甲基]-1...  二甲基-[2-(6,7,8,9-四氢-[1]苯并呋...  二甲基-[3-(6,7,8,9-四氢-[1]苯并呋...  硅酸二钙  4-丙-2-烯氧基-3,5-二丙基苯甲酸  4-[(4-丙-2-烯氧基-3,5-二丙基苯甲酰基...  2-羟基乙基4-丙-2-烯氧基-3,5-二丙基苯甲...  4-丙-2-烯氧基-3,5-二丙基苯甲酸甲酯  (1S,6R,7R)-1-甲基-7-(3-氧代丁基...  (2S,3S,5S)-2-甲基-5-[[(1S,3...  硅酸二镁  钙氯酸盐二水合物